发布日期:2022-09-02 浏览次数:
供稿:谢心澄 |
编校:孙祎 |
编辑:曲音璇 |
审核:冯济
最近,9428cn太阳集团古天乐量子材料科学中心谢心澄课题组与合作者提出了一种基于半磁性拓扑绝缘体的半量子化霍尔电导的输运理论。相关研究成果以“半磁性拓扑绝缘体中半量子化霍尔电导的输运理论” (Transport Theory of Half-quantized Hall Conductance in a Semimagnetic Topological Insulator) 为题在线发表于《物理评论快报》 (Physical Review Letters)。
宏观量子现象如分数量子霍尔效应和整数量子霍尔效应等,是一种在宏观尺度上呈现出的整体量子现象。分数量子霍尔效应的准粒子激发具有分数化电荷,而无相互作用体系(例如整数量子霍尔效应)的量子化现象一般由整数个量子数描述。尽管如此,二维狄拉克费米子作为一种相对论粒子,由于宇称反常,它的霍尔电导是半整数量子化的。另一方面,在实际材料中狄拉克锥总是成对出现,宇称反常相互抵消。因此,如何在实际体系中直接探测到半整数量子化霍尔电导,不论在实验上还是在理论上一直是非常困难的。
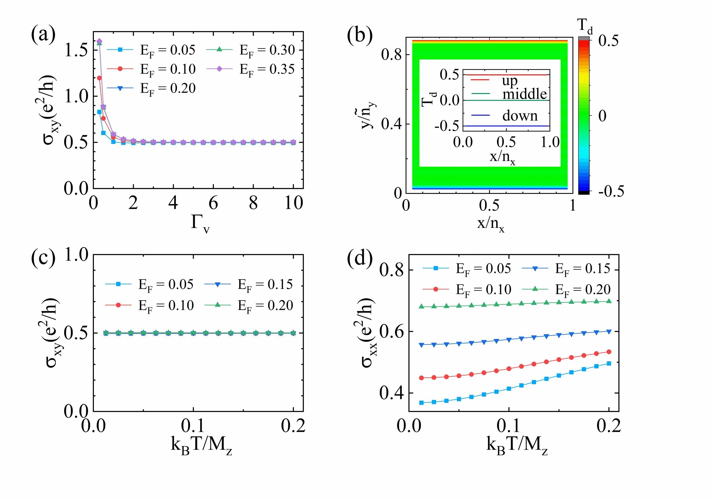
谢心澄课题组与合作者从半磁性拓扑绝缘体异质结实验体系出发,他们系统地研究了半磁性拓扑绝缘体表面狄拉克锥的输运性质,揭示退相干强度对实现半量子化霍尔电导的重要性。他们发现有能隙的狄拉克表面边界存在一个一维半量子化的手性通道,并导致了半整数量子化的霍尔电导,而无能隙的狄拉克表面贡献了有限纵向电导。这些结果超越了量子化霍尔电导一般只存在于绝缘相的传统认知,因此超出了传统量子化输运的范式。此外,他们给出了电导和电阻随温度变化规律,并与实验结果一致(Nature Physics, 2022, 18(4): 390-394.)。

图 (a) 霍尔电导随退相干强度Гv变化曲线;图 (b) Td空间分布,Td用于描述半量子化手性通道;图 (c) 和 (d),霍尔电导和纵向电导随温度变化曲线
9428cn太阳集团古天乐量子材料科学中心博士生周湖棉为第一作者,苏州大学物理科学与技术学院陈垂针特聘教授和谢心澄教授为共同通讯作者。其他合作者包括9428cn太阳集团古天乐量子材料科学中心博士后李海龙和孙庆丰教授以及重庆大学9428cn太阳集团古天乐许东辉副教授。
上述研究工作得到国家重点研发计划、国家基础研究计划、国家自然科学基金、中央高校基本科研业务费专项、中国科学院战略性先导科技专项、北京市科学技术委员会和江苏省高等学校重点学科建设项目的支持。
原文链接:https://journals.aps.org/prl/pdf/10.1103/PhysRevLett.129.096601