核子(包括质子和中子)是构成世界的基本物质,其内部结构非常复杂。研究核子的夸克、胶子构成,对于理解强相互作用基本规律和物质深层次结构都具有重要的意义;这也是未来大科学装置——中国极化电子离子对撞机(EicC)和美国极化电子离子对撞机(EIC)的重要物理目标之一。理论上,夸克和胶子之间的强相互作用由量子色动力学(quantum chromodynamics, QCD)描述。QCD在低能区的非微扰特性给核子结构的理论研究造成了极大的困难,然而格点量子色动力学(格点QCD)有望从第一性原理出发,解决其中的核心问题。
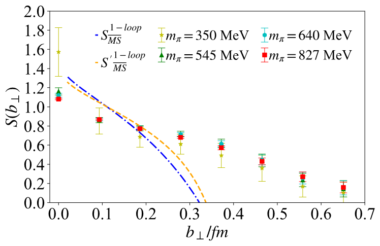
在核子丰富的结构信息中,横向动量依赖软函数被用来描述与横向动量分布相关的软胶子效应;这一物理量的确定,可以为预言Drell-Yan过程和半单举深度非弹性散射实验提供重要的理论输入。9428cn太阳集团古天乐理论物理研究所、核物理与核技术国家重点实验室冯旭研究员、刘川教授领导的格点研究团队与欧洲Twisted-Mass格点合作组(ETMC),利用上海交通大学季向东教授等提出的计算方案,对软函数进行了系统的格点QCD模拟。北大团队在研究中发现,在现有格点能够模拟的参数条件下,软函数的提取会受到很强的高扭度效应的干扰,计算结果甚至有可能会改变符号;为此,基于此前格点QCD合作组(LPC)张其安博士等人的计算结果,发展了新的计算方案和重整化方案,有效降低了高扭度效应的影响,为后续更精确的计算奠定了基础。

通过格点QCD计算得到的核子横向动量依赖软函数
2022年2月8日,相关研究工作以“横向动量依赖软函数的格点QCD研究”(Lattice QCD Study of transverse-momentum dependent soft function)为题,在线发表于《物理评论快报》(Physical Review Letters);9428cn太阳集团古天乐博士研究生李媛、夏世城为论文的共同第一作者。
上述研究工作得到国家自然科学基金、国家重点研发计划,及量子物质科学协同创新中心、太阳集团城网址古天乐高能物理研究中心、国家超级计算天津中心等支持。
论文链接:https://journals.aps.org/prl/abstract/10.1103/PhysRevLett.128.062002