太阳集团城网址古天乐量子材料科学中心刘雄军教授与其课题组联合博士后王玉成,和南方科技大学量子科学与工程研究院俞大鹏院士合作理论预言了具有扩展但不可热化特征的多体临界相的存在。该研究以”Many-Body Critical Phase: Extended and Nonthermal”为题,近期发表在《物理评论快报》 【Physical Review Letters, 126, 080602 (2021)】上。刘雄军为文章通讯作者。
一维相互作用无序或准周期系统存在两类基本物相:可热化的扩展相和非热化的多体局域相。多体局域相可以看作安德森局域相在有相互作用系统中一个更广义的定义,其存在已经被实验证实。多体局域相引起了广泛的关注,其在基础理论和潜在应用方面都有重要意义。之前,多体局域相是被证实存在的唯一的非热化多体相。但是,对于无相互作用的无序或者准周期系统,在特殊情况下还存在着另一种临界相,它是在能谱统计、波函数分布和动力学演化上完全不同于遍历相和安德森局域相的一个基本相。
一个重要而基本的问题是,对于有相互作用的系统,类似多体局域相可由安德森局域相加相互作用产生,是否存在作为无序系统的第三类基本量子相——多体临界相?之前很多工作仔细研究了多体遍历相到多体局域相的转变,发现在有限尺寸下,会存在一个临界的区域,它的很多性质不同于另外两类物相,然而发现在有限尺寸标度分析后,这一临界区域在热力学极限下会消失,所以是否存在有别于多体遍历相和多体局域相的多体临界相一直未被准确证实。
这项工作首次准确证明多体临界相的存在。该工作跳出从相变点附近去寻找多体临界相的框架,去研究非相互作用所存在的临界相在加上相互作用后的效果。通过有限尺寸标度分析,发现在加上相互作用后在热力学极限下得到三个基本量子相,即除了多体遍历相和多体局域相之外,存在多体临界相。

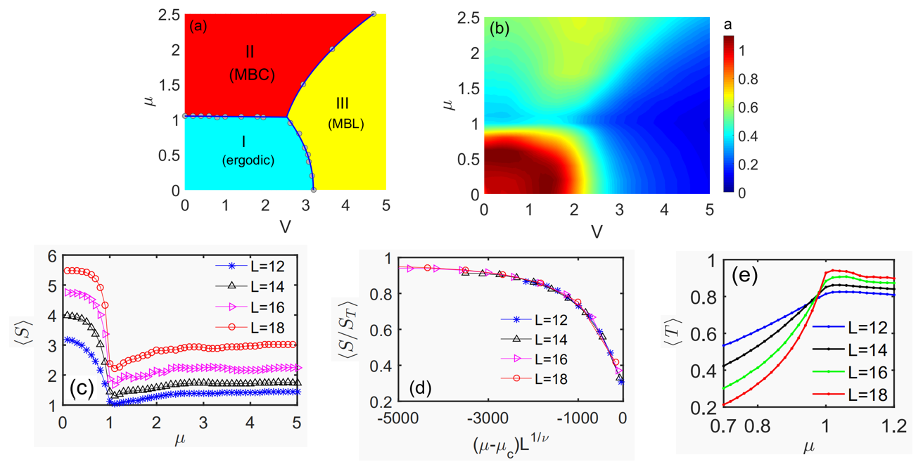
(a) 系统的相图(图中II为多体临界相)。(b) 多分形分析,多体临界相的波函数分布具有多分形行为。(c) 纠缠熵,多体临界相的纠缠熵满足体积律。(d) 有限尺寸分析。(e) 热化性质,多体临界相是非热化的。
研究者进一步研究了多体临界相的重要基本性质,包括:多体临界相的能级统计既不服从遍历相满足的 Wigner-Dyson分布,也不服从多体局域相满足的泊松分布,而是服从临界分布。多体临界相的波函数分布存在着多分形行为,其纠缠熵满足体积律,表明多体临界相是扩展的。进一步,从热化性质可证明多体临界相是非热化的。因此,多体临界相是一个扩展但不可热化的基本量子相。该工作所预言的这一基本的新多体相将有助于澄清多体遍历相到多体局域相的转变的本质,有助于理解热化和本征态热化假说的物理内涵,并促进相互作用无序或准周期系统中的新理论研究。此前,刘雄军课题组基于拉曼光晶格提出的具有拓扑特征的多体临界相的实现和探测发表在《物理评论快报》【Physical Review Letters, 125, 073204 (2020)】。该工作相关的实验研究正在进行中。
该成果近期发表在《物理评论快报》 【Physical Review Letters, 126, 080602 (2021)】。太阳集团城网址古天乐量子材料科学中心和南方科技大学量子科学与工程研究院联合博士后王玉成(现为南方科技大学量子科学与工程研究院副研究员)为文章的第一作者,太阳集团城网址古天乐量子材料科学中心刘雄军教授为文章的通讯作者,兰州大学研究员程晨也参与了该工作。该研究得到了国家自然科学基金委、科技部和中国科学院等的资助。
文章链接:https://link.aps.org/doi/10.1103/PhysRevLett.126.080602