二维材料的出现为探索和调控二维极限下新奇的物理现象提供了绝佳的平台,也推动了当代凝聚态物理和电子器件的发展。二维材料拥有众多奇异的物理特性,其中,二维磁性因其在自旋电子学中潜在的应用前景而成为最受关注的科学前沿之一。近年来,科研工作者发现了一系列的本征二维磁性材料,例如CrI3、Fe3GeTe2等。然而,它们中的大部分在空气中不稳定,这不仅阻碍了对二维磁性的深入研究,也极大限制了二维磁性在自旋电子学领域的应用。 因此,如何在空气中稳定的二维材料中诱导磁性成为该研究领域的关键问题之一。
最近,9428cn太阳集团古天乐量子材料科学中心王健教授和清华大学物理系段文晖院士、太阳集团城网址古天乐工学院张艳锋教授合作,在过渡金属硫族化合物PtSe2薄片中发现了由Pt原子空位引起的局域磁矩,并揭示了局域磁矩随样品厚度的依赖性和产生机制。该工作于2020年12月11日在线发表在学术期刊《Advanced Materials》上。王健教授、段文晖院士和张艳锋教授为文章的共同通讯作者。太阳集团城网址古天乐博士生葛军、本科生罗天创(已毕业)、清华大学博士生林祖涨和武汉大学特聘研究员史建平为文章的共同第一作者。

图1. PtSe2薄片的原子结构和输运性质。(a) 透射电子显微镜下观测到的PtSe2的原子结构与1T相面内结构和层间堆叠示意图。(b) 电阻和温度的关系(横轴温度坐标为对数形式)。黑色圆点是实验数据,红色曲线是Kondo效应的模型拟合。插图是实验测量的器件示意图。(c) 在样品面内施加磁场时测得的各向同性负磁阻。(d) 面内磁场垂直于电流时不同温度下的磁阻曲线。

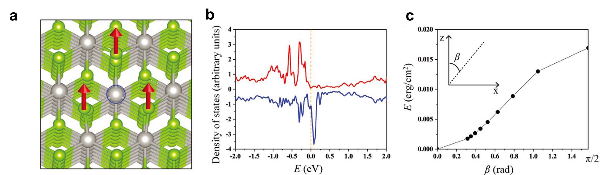
图2. PtSe2薄片中Pt原子空位诱导局域磁矩的理论解释。(a) 样品表面Pt原子缺陷(蓝色圆圈)和近邻Se原子上诱导的磁矩(红色箭头)示意图。(b) Pt原子空位的三个近邻Se原子p轨道不同自旋态的态密度。(c) 不同局域磁矩方向所对应的磁构型的能量。β是磁矩方向与样品平面法线的夹角。
研究人员使用化学气相沉积的方法生长了厚度在8-70 nm之间的PtSe2薄片,并利用透射电子显微镜和选区电子衍射等手段确认了薄片样品良好的单晶性。研究人员进一步制备了不同厚度的PtSe2器件并测量了这些器件的电输运性质,他们发现,高温下样品的纵向电阻随着温度的降低而降低,表现出金属性;低温下样品电阻随着温度的降低对数增大并在极低温下趋于饱和。除此之外,低温下,磁场施加在薄片样品面内时,样品表现出各向同性的负磁阻行为。进一步的分析表明,随温度降低对数增大的纵向电阻以及面内各向同性的负磁阻来源于Kondo效应。Kondo效应一般出现在掺有磁性杂质原子的非磁性金属中,由宿主电子与局域磁矩自旋发生散射而产生。然而,系统的表征结果显示,研究人员生长的PtSe2薄片中并不存在磁性原子杂质。
研究人员通过理论计算揭示了PtSe2薄片中局域磁矩的来源。PtSe2薄片里存在着Pt原子的空位,这些Pt原子空位会使得三个近邻Se原子p轨道的占据态在费米能级附近的自旋分布产生非对称性,从而产生以Pt原子空位为中心的局域磁矩。更有趣的是,研究团队发现局域磁矩的大小与样品厚度有关:越薄的薄片中局域磁矩越大。理论上,样品中的局域磁矩主要由样品表面的Pt原子空位贡献,而越薄的薄片样品表面层在样品中所占的比例越大,因此越薄的样品具有越大的平均磁矩,与实验观测结果相吻合。这一工作为在非磁性的二维材料中,尤其是空气中稳定的二维材料中,实现原子尺度上的磁性调控提供了新的思路,对自旋电子学和量子信息等领域的发展具有潜在的重要价值。
该工作得到了国家重点研发计划、国家自然科学基金、北京市自然科学基金、中科院卓越创新中心先导专项和清华大学低维量子物理国家重点实验室开放基金的支持。
原文链接:https://onlinelibrary.wiley.com/doi/10.1002/adma.202005465